2. 中国科学院青藏高原地球科学卓越中心 北京 100101;
3. 中国科学院大学 北京 100049
2. cas center for excellence in tibetan plateau earth sciences, beijing 100101, china;
3. university of chinese academy of sciences, beijing 100049, china
青藏高原及周边地区被誉为“亚洲水塔”,是除极地冰盖以外全球第二大冰川聚集地,也被称为世界的“第三极”;其孕育了长江、黄河、雅鲁藏布江(恒河)、澜沧江(湄公河)、怒江(萨尔温江)、印度河和伊洛瓦底江等多条亚洲重要河流,是青藏高原及周边地区水资源最重要的发源地。同时,青藏高原也是全世界海拔落差最大、构造隆升与地震活动最强烈、地貌类型最复杂的地区,山洪、滑坡、泥石流等山地灾害量大面广、活动频繁[1-3]。根据联合国政府间气候变化专门委员会(ipcc)第五次评估报告[4],过去百年全球气温显著上升,并在近年来呈现出明显加快的趋势,青藏高原冰川退缩和冰雪消融加剧,冰湖面积扩大。近50年资料显示,该区降水量也明显增加,极端降水事件增多,气候变化势必导致亚洲水资源的变化[5-8];同时,也会使得山地灾害频发,加大灾害风险。
青藏高原地区受气候变化影响的灾害主要有洪水、泥石流、滑坡、冰崩、雪崩、冰湖溃决和冻土灾害等。目前,对这些灾害在内、外动力耦合作用下的孕灾机制和成灾机理认知有待深入,对灾害的风险预估和防控也缺乏针对性的技术手段。我国在该地区已启动或拟启动一系列重大基础设施、生态保护和民生工程项目,如川藏高速铁路、高速公路、雅鲁藏布江中下游梯级水电站等,这些重大工程的建设和运行均受到区域自然灾害的影响。因此,开展青藏高原灾害综合考察,探索形成和成灾机理研究,预测气候变化条件下可能面临的灾害风险,提高灾害预警和防控能力有助于提升自然灾害防治能力和民生安全保障能力,推动“一带一路”向高质量发展转变,具有重要的科学和战略意义。
1 气候变化对孕灾环境的影响全球气候变暖导致温度升高、极端降雨频发、雪线上移、冰川消融后退等环境变化,改变了高原地区水文地质条件和地表孕灾环境,加剧了灾害的频率、规模和复杂性。孕灾环境的改变主要体现在水源条件、固体物质条件、能量条件和孕灾条件组合的变化。
1.1 水源条件气候变化条件下,极端降雨增多,气温升高导致冰雪融水径流增大,冰湖更易溃决,冻土融水增多。
在高寒区与极高山区,液相水在不同类型灾害形成中扮演不同的角色。对流体运动型灾害(如洪水、泥石流和冰湖溃决等),液态水既是组成成分,又是驱动力,起决定性作用。对块体运动型灾害(如滑坡、崩塌、冰崩、雪崩等),液态水降低岩土物质的内摩擦角和黏聚力,增大岩土体自重,改变受力条件,造成崩滑灾害;或渗入冰雪体的重力裂缝,造成裂缝两侧固态水融化使裂缝贯通,引发冰、雪体失稳;也可掏蚀坡脚,增大临空面,改变坡体或冰雪体的受力条件,导致重力主导型灾害发生。
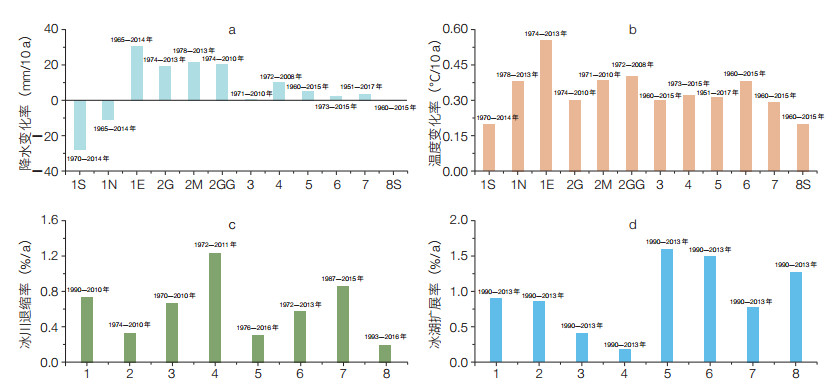
据统计,近年来青藏高原地区降雨基本呈增加趋势(0.1—15 mm/10 a,图 1a),气温整体上升(0.20℃—0.55℃/10 a,图 1b),冰川普遍强烈退缩(退缩率约为(0.2%—1.2%)/a,图 1c),且近年退缩幅度逐渐加剧[9-13]。青藏高原冰湖个数与面积增加(冰湖扩张率约为(0.3%—1.6%)/a,图 1d),尤其在2000年后,湖泊总数增加13%以上,面积也显著扩张,如阿尔金山、喀喇昆仑、昆仑山等地区年扩张速度均大于1%[14]。冰湖扩张一方面降低了冰川水储量,致使可流动的液态水大大增加;另一方面,冰湖库容增大了冰湖溃决的风险,也为洪水、泥石流等提供了更好的孕灾环境。例如,自20世纪30年代以来,西藏境内就记载了30余次冰湖溃决事件[10, 11]。
温度升高导致冻土退化,使高寒区土壤的活动层深度增大,增加了地下水储水空间,加速了地表水向地下水转化,土体中液态水的含量易急剧上升。同时冻土退化也造成地表径流增加,使得流水冲刷河岸和沟床物质动力增强,利于山洪、泥石流、崩塌等灾害的发生。
1.2 固体物质条件冰川退缩、雪线上移、冻土消融等环境变化对灾害形成中固体物质的影响主要体现在2个方面。
(1)增大了固体物质动储量。通常气温年较差、日较差、极端较差越大,围绕0℃震荡的时间越长,就越有利于风化作用和松散固体物质的形成。高寒区温度升高不仅有利于岩石风化,增加松散物质,还使得冰雪覆盖区减少,暴露大量冰雪侵蚀松散物质。据统计,2003—2010年,青藏高原地区永久性积雪以每年0.35%的速度减少[15],局部地区冰川和积雪覆盖区变为裸露地。失去积雪和冰川保护的坡体堆积物和冰碛物暴露于地表,这使得松散物质动储量大量增加,在降雨和流水侵蚀作用下极易起动形成泥石流等灾害。
(2)土体中各相水的转化,改变了土体力学性质,使土体更易破坏。高寒区冻土、冰碛物与非高寒区松散物质的主要区别在于土体内固体水的存在。固态水具有较大的力学强度,而液态水几乎没有对灾害防治有意义的力学强度,而且还会导致具有水敏性的松散土的强度大幅降低。气候变暖已经引起了青藏高原冻土严重退化,冻土面积减少,多年冻土下界升高,季节性冻土活动层增加。常年冻土区和季节性冻土区域冻融交替活跃,致使青藏高原山地斜坡土体失稳,产生滑坡体和坍塌。冻土退化为土壤补充一定水源,增加土壤孔隙水压力,强度迅速减小,使得自然降雨导致地质灾害的临界阈值降低,增大山地灾害暴发概率;另外,水分的补充,增加了土体的重力负担,易形成滑坡、崩塌等灾害。
1.3 能量条件能量条件是灾害体起动和运动的驱动力,直接反映灾害的破坏能力。气候变化对灾害形成能量条件的影响主要体现在2个方面。
(1)位能-动能转化条件改变。高寒区冰川“u”型谷密集分布,部分“u”型谷谷底为巨厚松散堆积物。温度升高导致冰雪消融加速和径流增加,河流侵蚀下切作用加剧,软岩和巨厚堆积物区的“u”型谷在强烈侵蚀作用下迅速下切,增加岸坡的陡峭程度和相对高差,从而构成了有利于坡面水、土物质的位能向为动能转化的条件;有些甚至形成较高的临空面,直接增加了位能。
(2)热能-动能转化条件改变。气温升高导致冰雪融水加剧,固态水属具有结构能的结晶体,热能把固态水变为液态水;液态水在斜坡上获得动能,具有流动、侵蚀、搬运的能力,为灾害形成提供能量和动力条件。同时,温度升高也加剧冻土退化,将吸收的热能转化为结构能释放,消融水进一步改变(减弱)土体结构强度,为灾害的形成提供有利条件。
1.4 孕灾条件组合气候变化导致孕灾条件的组合类型多样化,主要体现在3个方面。
(1)高温与降雨组合。冰川、永久性积雪与冻土在高温期间产生的消融水和降水结合后,能形成比单一的冰雪融水规模更大的冰雪体表面和内部水流,由此造成沟道两岸侵蚀与沟底掏蚀加剧,成为泥石流、山洪、冰湖溃决等灾害的促进因素。
(2)水土条件组合。高强度降雨或大量的冰雪、冻土融水与所处位能较好的易侵蚀松散固相物质结合后,能够更快地驱动物质位能转化为动能,增加灾害的水动力条件和破坏能力。这进一步加剧灾害形成的风险,大规模冰川泥石流的形成便是典型例子。
(3)形成方式组合。冰雪消融使得流水侵蚀作用不断加强,沟谷加深,沟岸和山坡变陡,水土流失加剧,重力侵蚀发展,容易诱发崩塌、滑坡和坡面泥石流。进而,这一过程与水流的下切、侧向和溯源侵蚀结合,形成水力-重力复合侵蚀,加大了大规模复合型灾害形成的可能性。
2 气候变化环境下灾害发育特征青藏高原新构造活动强烈,活动断裂发育,地层岩性复杂,风化剥蚀显著,岩体非常破碎,水汽交换剧烈,为自然灾害提供了良好的发育条件。泥石流、崩塌、滑坡、冰湖溃决、洪水、冰崩雪崩等灾害点多面广(图 2),暴发频繁,成灾严重[1-3]。
|
| 图 2 青藏高原自然灾害分布图 |
青藏高原地区自北向南包括祁连—柴达木、昆仑、巴颜喀拉、冈底斯、喜马拉雅、羌塘—昌都等多个构造带,包括喜马拉雅山、喀喇昆仑山、昆仑山、阿尔泰山、祁连山、横断山等众多山脉。除局部地区主要的山地灾害特征有所不同外,总体空间特征具有高强度与高频性、突发性、季节性、群发性、周期性等特征[14]。气候变化使得孕灾条件的上述变化,增加了该区域大规模灾害发生频次,也使得灾害的链生性更为明显。不同灾种在一定条件下能够相互激发和转换,形成灾害链,导致灾害在时间和空间上双重延拓,进而增大灾害威胁。例如,2000年4月9日,易贡滑坡先堵断主河易贡藏布形成堰塞湖,淹没上游村庄。2个月后,堰塞体溃决,不仅使易贡藏布下游几十公里的道路被冲毁,更使印度境内30人死亡,100多人失踪,5万余人无家可归。易贡滑坡的形成就和春季积雪消融密切相关。
2.2 不同海拔区灾害的诱发因素和对气候变化的响应各异受高原气候和地形条件的控制,在不同海拔区灾害的诱发因素和灾种呈现明显差异,对气候变化的响应也不同。
(1)海拔3 500 m以下地区。发育以暴雨诱发的山洪、泥石流、滑坡等,主要集中于横断山区、喜马拉雅中东段、昆仑山西段等。这些区域季风气候活跃,水汽交换剧烈,降雨充沛且集中在雨季;地形陡峭,高差大,位能条件好;构造活跃,地震频发,固体松散物质丰富;人类活动影响也较大,交通干线等人类设施相对最为密集,灾害也呈现沿交通干线密集分布的特征。降雨是灾害发生的主要激发因素,未来极端暴雨的增多将对这些区域的灾害造成显著影响。
(2)海拔3 500—4 000 m地区。主要发育有冰川融水补给为主的冰川泥石流、山洪和滑坡等灾害。主要集中于横断山地区、西藏东南部喜马拉雅中东段、念青唐古拉山中东段等。该区域受印度季风控制,海洋性冰川发育,是气候变化最为敏感的区域。该区域将受温度升高和极端暴雨的共同影响。夏季持续的高温致使冰川和积雪处于强烈的消融状态,大量的冰雪融水从山坡及冰川上汇流到冰川谷地的冰碛物等松散堆积体中,在重力作用下沿沟谷下泄,形成冰川泥石流等灾害。该区灾害主要的诱发因素为降雨和温度,特别是高温和高强度降雨的耦合,是大规模灾害和灾害链形成的重要因素。未来气候变化导致的升温和极端降雨均是该区域灾害危险性增大的重要因素。
(3)海拔4 000 m以上的高寒地区。该区域冰湖发育密布,冰川跃动、冰崩、冰湖溃决等为主要灾害类型。主要集中在海洋性冰川地区的喜马拉雅山东段、念青唐古拉山中东段,唐古拉山东段,以及亚大陆性冰川地区的喜马拉雅山中段、喀喇昆仑山等区域。这些区域对温度变化的响应较为敏感,如2000年以来,冰湖溃决灾害发生频率较以往明显升高[10, 11],仅西藏东南部就记录了9次冰湖溃决事件。冰川跃动可能冲入冰前湖引发洪水或泥石流,或引发湖体溃决形成灾害链,主要分布于亚大陆性冰川区的天山和喀喇昆仑山区域[15]。冰崩往往推动松散的冰碛物到下游直接造成灾害,或直接坠入冰湖引发冰湖溃决洪水和泥石流等灾害。冰崩引发的灾害主要分布在海洋性冰川区。例如,2018年10月17日,西藏雅鲁藏布江色东普沟发生冰崩堵江灾害,崩落的冰块在山谷里翻滚跌落推动松散冰碛物一路奔涌堵塞了雅鲁藏布江河道形成堰塞湖,使得上、下游数万群众被迫撤离。该区域灾害形成最敏感的因素是温度,气候变暖将会直接导致冰雪相关灾害活动性的增加。
3 气候变化下灾害未来发展趋势与风险不同气候变化情景模拟表明[16, 17],未来青藏高原地面气温将持续升高,极端降雨事件频发且呈增加态势。相对于基准期(1961—2005年),2006—2035年期间年平均气温将升高1.1℃—1.4℃,年平均降水将增加3.2%;21世纪中、后期(2036—2099年)水热条件变化更加明显,如在全球温室气体低排放情景(rcp2.6)下年均气温将升高1.7℃—2.0℃,降雨将增加6%—12%,在高排放情景(rcp8.5)下年均气温将升高3.9℃—4.6℃,降雨将增加12%—24%。此外,预计到21世纪末,在rcp2.6和rcp8.5情景下,冰川规模将分别减少15%—55%和35%—85%。
气温和降雨变化将持续改变青藏高原地区的水热组合条件。降雨增加可直接激发灾害,也可增加对前期冰湖蓄水量的贡献,进而提高其他极端事件(冰崩或冰雪消融)引发冰湖溃决发生的概率;高温加剧区域内冰川、积雪及冻土的消融,明显改变青藏高原山地灾害的孕灾环境,加快冰川面积萎缩,导致冰湖水量扩张,为冰湖安全库容承载力造成巨大压力,增加冰湖溃决和形成山洪、泥石流等灾害的风险。
气候变暖将导致冰雪融水径流增加,加剧侵蚀、下切作用。加之青藏高原整体抬升强烈,将进一步利于松散固体物质的位能转化为动能,转化速率将加快,进而增加泥石流、山洪、滑坡等灾害形成的概率。温度-能量条件的叠加效应,增加灾害诱发条件判识的难度和精度,灾害形成和规模放大的非线性过程更为显著,未来的灾害风险将可能成倍增加。
此外,高海拔地区人口与经济的增长、工程建设的增加等也会进一步提高该区域的风险。由于人口和经济的高密度区与自然灾害的高危险区在空间上大幅重叠,作为承灾体的经济和人口,体量越大,受灾害损失的概率越大。未来的灾害风险将随着灾害危险度和易损度的增加而显著增加。
4 防灾减灾面临的问题与对策 4.1 防灾减灾面临的问题(1)青藏高原系统性灾害基础数据薄弱。高寒地区经济发展水平较低,监测站点不足,专业技术力量缺乏。且受特殊地理、气候条件的限制,目前的监测技术和设备难以满足防灾减灾基础数据收集的需求。例如,西藏自治区全区仅28个县开展了1 : 50 000地质灾害详查,2 000多个面积大于0.05 km2的冰湖危险性尚未全部查清,灾害基础调查存在较大缺口;观测站网密度非常低,全区仅有雨量站623处,平均单站控制面积1 926 km2,远大于单站60 km2的全国标准;水文站112处,平均单站控制面积10 714 km2,大于单站1 333 km2的全国标准。上述短板导致基础资料数量不足、精度有限,迄今没有全区尺度上系统、全面的自然灾害基础数据集,这严重制约了该区域灾害的理论研究和防治技术发展。
(2)对灾害影响的物理机制和过程认识不明。青藏高原范围广阔,灾害类型多样,孕灾环境复杂,冻融作用和干湿环境叠加,地震活动频繁,受气候变化影响显著,多种致灾因子交织,成因非常复杂。复杂的成因加上薄弱的基础数据,使得对灾害形成发育的过程和机理认识受到局限,缺乏数据分析各因素的影响,细化过程研究。因此,目前对气候变化和地震活动等内、外动力多因素耦合驱动下的泥石流、山洪、冰湖溃决与滑坡等灾害的物理机制和过程认识不明,尚不能定量描述其物理过程,特别是灾害孕育和演化过程,因此难以有效预测灾害。
(3)气候变化条件下未来灾害趋势和风险难以把控。灾害的形成与演化过程受控于多种因素,受上述2个短板因素的影响,分析气候变化对灾害的影响,定量描述气候变化的影响,建立气候变化影响灾害预测模型目前还是科学难点。因此,研究气候变化大背景下灾害的孕育和演化规律,定量分析气候变化的灾害效应,消除复杂因素作用下灾害风险预测的不确定性,是亚洲水塔区灾害研究的前沿课题。
4.2 减灾对策与建议针对上述防灾减灾工作和科学研究中存在的短板,提出3点建议。
(1)开展青藏高原综合灾害科学考察,建立全面系统的灾害基础数据库。高寒地区自然灾害研究水平较低的主要制约因素之一在于基础数据有限。因此,应结合第二次青藏高原科考,尽快对全区进行全面、系统的灾害考察,利用遥感、大数据、地理信息系统、干涉雷达、激光雷达等先进探测技术和数据分析技术,获取第一手灾害数据,建立集灾害类型、成因、性质和环境因素(水文、生态、气候、地质、地形、社会经济)等于一体的基础资料数据库,为灾害机理研究和防治技术研发提供基础资料。
(2)加强灾害机理研究,提高灾害预防、控制技术。重点开展高寒地区超大规模灾害的发育规律、形成过程机理、运动和成灾机制的研究,厘清成灾因素和灾害发育的区域规律,解析灾害动力学过程和灾变机理,揭示多种因素耦合作用下的巨灾演化机制。尤其要重点研究极端气候变化对灾害发育的影响,预测未来山地灾害可能呈现出的趋势和特点,提高灾害风险评估和管理水平。在此基础上,开发适宜高寒区特点的监测预警和防治关键技术,提高灾害观测、监测和治理技术水平。进而,形成高原灾害风险防控的理论与技术体系,提高高原防灾、抗灾、救灾的科技支撑能力。
(3)促成多国协调的灾害防控信息共享和减灾 协同机制。青藏高原跨境灾害的影响往往波及多个国家,而各国具有不同的灾害管理、处置方式,国家之间灾害信息共享机制和渠道也尚需完善,相关问题往往造成灾害防控资源浪费和减灾效率的折扣。为了有效防控跨境重大自然灾害以及需要建立多国跨境减灾协同机制,这包括灾害基础数据共享机制、灾害监测预警系统共建机制、重大灾害协商决策机制、重大救援行动协调机制、救灾资源协同调配机制,以及减灾政策对接机制、科学研究合作机制等。通过国际合作和减灾协助,提升周边国家地区的自然灾害应对能力,为“亚洲水塔”的绿色、安全、可持续发展以及“一带一路”高质量建设提供科技支撑。
| [1] |
崔鹏, 陈容, 向灵芝, 等. 气候变暖背景下青藏高原山地灾害及风险分析. 气候变化研究进展, 2014, 10(2): 103-109. |
| [2] |
崔鹏, 苏凤环, 邹强, 等. 青藏高原山地灾害和气象灾害风险评估与减灾对策. |
| [3] |
cui p, jia y. mountain hazards in the tibetan plateau:research status and prospects. national science review, 2015, (2): 397-402. |
| [4] |
ipcc. climate change 2013:the physical science basis. cambridge: cambridge university press, 2013.
|
| [5] |
姚檀栋, 陈发虎, 崔鹏, 等. 从青藏高原到第三极和泛第三极. |
| [6] |
杜军, 路红亚, 建军. 1961-2010年西藏极端气温事件的时空变化. 地理学报, 2013, 68(9): 1269-1280. |
| [7] |
杜军, 路红亚, 建军. 1961-2012年西藏极端降水事件的变化. |
| [8] |
姚檀栋, 秦大河, 沈永平, 等. 青藏高原冰冻圈变化及其对区域水循环和生态条件的影响. |
| [9] |
蒲健辰, 姚檀栋, 王宁练, 等. 近百年来青藏高原冰川的进退变化. 冰川冻土, 2004, 26(5): 517-522. |
| [10] |
贾洋. 气候变暖对藏东南山地灾害的影响机制. 北京: 中国科学院大学, 2018.
|
| [11] |
cui p, dang c, cheng z l, et al. debris flows resulting from glacial-lake outburst fl oods in tibet, china. physical geography, 2010, 31(6): 508-527. |
| [12] |
胡凡盛. 1976-2016年东帕米尔-西昆仑地区冰川变化遥感监测. 兰州: 兰州大学, 2018.
|
| [13] |
段安民, 肖志祥, 吴国雄. 1979-2014年全球变暖背景下青藏高原气候变化特征. |
| [14] |
崔鹏, 贾洋, 苏凤环, 等. 青藏高原自然灾害发育现状与未来关注的科学问题. |
| [15] |
崔之久, 熊黑钢, 刘耕年, 等. 中天山冰冻圈地貌过程与沉积特征. 石家庄: 河北科学技术出版社, 1997.
|
| [16] |
张国飞, 李祥飞, 李忠勤. 1980-2011年全球不同地区冰川物质平衡变化分析. |
| [17] |
张人禾, 苏凤阁, 江志红, 等. 青藏高原21世纪气候和环境变化预估研究进展. |
