2. 中国科学院西北生态环境资源研究院 冰冻科学国家重点实验室 青藏高原冰冻圈观测研究站 兰州 730000;
3. 中国科学院大学 北京 100049
2. cryosphere research station on qinghai-xizang plateau, state key laboratory of cryospheric science, northwest institute of eco-environment and resources, chinese academy of sciences, lanzhou 730000, china;
3. university of chinese academy of sciences, beijing 100049, china
青藏高原及周边地区孕育着黄河、长江、恒河、澜沧江、印度河、萨尔温江和伊洛瓦底江等亚洲的重要河流, 被称为"亚洲水塔"。其广泛分布的多年冻土通过独特的水分运移影响着区域水文和水循环过程。青藏高原现存多年冻土的总面积约为106万平方公里[1]。多年冻土是在青藏高原隆升过程中逐渐形成并扩张的, 并经历了不同周期和尺度的气候冷暖波动。在多年冻土层形成的漫长过程中, 反复的成冰作用将大量水分冻结并以固态形式长期储存于地下而形成了地下冰, 现有地下冰储量约为12.7万亿立方米。
在气候变暖背景下, 青藏高原多年冻土发生着广泛的退化[2-7]。最显著的特点是多年冻土温度升高和活动层增厚, 浅表层多年冻土及其中的地下冰逐渐融化。活动层增厚引起的地表水分条件的改变是影响多年冻土区产汇流过程和生态过程的重要因素; 而曾被固存并埋藏在多年冻土内部的地下冰的融化, 则会导致更多的水分被释放并参与水分的年循环过程, 同时还会引起地面沉降, 对高原多年冻土区的水循环过程和气候产生影响[8-11]。多年冻土区地表的水热过程和变化在区域水文过程中也发挥着重要作用。与积雪、冰川和湖沼相比, 冻融过程中的水分迁移和地下冰融化的产汇流过程对多年冻土区水循环过程的影响更为复杂。因此, 明确青藏高原多年冻土变化及其影响对于认识多年冻土与区域水循环, 以及生态和气候相互作用的关系具有重要意义。
任何冻结土壤中都有未冻水的存在。未冻水主要是被土壤颗粒的吸附作用吸附以液态水膜形式存在于冻结土壤中的水分[12]。换而言之, 土壤冻结以后, 无论温度多低, 其中仍然有一部分液态水没有冻结, 未冻水含量随温度的降低逐渐降低。当温度接近土壤水的冻结冰点时, 未冻水含量急剧升高, 较小的温度波动就能引起未冻水含量的较大变化, 这个温度变化区域称之为剧烈相变区。当温度远低于剧烈相变区时, 土壤中的未冻水含量很小, 随温度波动发生的变化也很小, 称为非剧烈相变区。当冻土中存在温度差时, 较低温度区域未冻水含量较少, 具有较大的"吸附"势能, 导致未冻水有向较低温区域迁移的趋势。冬季时, 表层土壤温度低于下部土层温度时, 未冻水由下部向上迁移, 未冻水的迁移量随深度的增加逐渐增大; 而在夏季, 表层土壤温度高于下层多年冻土温度, 未冻水发生向下迁移, 且发生在剧烈相变区(活动层底部温度接近0℃), 水分的迁移量较大。因此, 当地温梯度绝对值相同的时候, 夏季由负温梯度造成的向下迁移量大于冬季由正梯度造成的向上迁移, 年循环的结果就是水分的向下迁移, 并在多年冻土上部积聚, 使含冰量增加[13]。
多年冻土层的透水性能较差, 作为一种大范围的区域性隔水层或弱透水层, 在一定时空尺度上阻隔或显著减弱了大气降水、地表水同地下水之间的水力联系。因此, 青藏高原大范围存在的多年冻土强烈影响着地表径流形成以及地下水的运移过程和分布格局。多年冻土的隔水作用可以提高流域融雪和降雨径流的产流量, 而多年冻土退化会直接影响寒区地下水补给源和补给量、径流路径和排泄过程, 以及地下水与地表水的交换等[14-19]。多年冻土的不均匀融化可导致多年冻土区冻土层的区域性稳定隔水作用不断减弱, 冻结层上水水位随之下降, 补给路径延长、加深, 甚至可通过新形成局部融化的"天窗"(贯穿融区)直接补给冻结层下水或冻结层间水[20], 这对于局地到流域尺度的地下水循环, 特别是地下水补、径、排过程都产生了深刻影响。多年冻土区的径流系数一般比非冻土区大, 并随气候变暖、活动层增厚而明显减小。加拿大北极地区一个多年冻土小流域的观测结果显示, 在某些气温较高、降水较多年份的实测径流量反而比正常年偏小很多[21]。此外, 多年冻土退化及活动层增厚必将导致多年冻土中大量赋存的地下冰转化为液态水; 被释放的液态水部分参与活动层的冻融过程, 而其余部分将参与区域乃至全球的水循环过程[22]。因此, 加深对多年冻土特征和变化的理解, 可为进一步认识区域水循环过程提供理论基础。
很多报道表明, 活动层增厚、地下冰融化已经引发了多年冻土区大量的热融现象, 其中对局地水文循环过程影响极大的热融现象导致了热融湖塘的形成和扩展。在多年冻土退化初期, 地下冰融化导致地表下陷形成积水洼地; 积水洼地一旦出现, 原有地表的水热平衡即被打破, 多年冻土的融化也就不断加剧, 热融洼地也随之不断扩张而形成热融湖塘[23];当湖底的多年冻土全部融化之后, 冻结层上水与冻结层下水贯通而形成贯通融区, 湖水可能经由这个贯穿融区被迅速排干, 之后在被疏干的湖盆底部开始形成新的多年冻土。可以看出, 热融湖塘的形成-发展-消亡过程与地表水与地下水的转换直接相关, 极大地影响局地的水文条件[24]。
基于前述认识, 本文在长期观测数据的基础上, 结合再分析数据产品, 试图通过对青藏高原水文过程密切相关的多年冻土区气温、降水、地温和土壤含水量、地表融沉等特征基础资料的分析和综述, 为"亚洲水塔"的变化及机理研究添砖垫瓦。
1 多年冻土变化的基本特征 1.1 多年冻土区气温与降水变化当前大部分研究基于青藏高原的各类数据资源揭示了青藏高原不同区域乃至整个青藏高原的气候变化背景[25-29], 但由于真正位于多年冻土区的气象台站极为稀少, 导致现有结果对于高原海拔4 000 m以上地区气候变化背景的评估还存在极大不确定性。2004年以来, 中国科学院青藏高原冰冻圈观测研究站在青藏高原腹地多年冻土区沿青藏公路沿线的唐古拉、五道梁和西大滩3地建立了综合气象站, 重点开展高原腹地多年冻土与气候相互关系监测研究。这3个气象站2004-2016年的年平均气温在−5.8℃—−2.4℃间波动上升, 气温升高趋势基本一致(图 1a), 平均变化率约为0.05℃/a。其中, 唐古拉气温增幅最大, 约为0.08℃/a; 五道梁气温增幅最小, 约为0.02℃/a。2008年的气温为观测期的最低值, 平均值约为−5℃; 2010年为观测期最高值, 平均值约为−3.3℃(图 1c)。
|
| 图 1 2004-2016年唐古拉、五道梁和西大滩观测站点气象要素的年变化特征 (a)各站点年平均气温变化; (b)各站点年降水量变化; (c)气温和降水量的平均值变化 |
上述3个气象观测站点的年降水变化趋势基本一致, 约在210-580 mm降水量区间呈明显的波动上升趋势(图 1b), 平均变化速率为7.49 mm/a。年平均降水量最小值和最大值出现在2006年和2016年, 分别为285 mm和436 mm(图 1c)。降水主要集中在每年5-9月, 但年际降水集中期的分布有所差异。观测站点的降水量空间变化趋势与气温变化趋势相反, 受纬度地带性规律和海拔的共同影响, 降水量自北向南迅速增加。其中, 唐古拉降水增幅最大, 约为10.68 mm/a; 五道梁降水增幅最小, 约为4.81 mm/a。
可以看出, 青藏公路沿线多年冻土区的气候在10多年来呈现变暖和变湿趋势。利用青藏高原气象站点和再分析资料研究结果表明, 青藏高原自1980年以来气温变化速率在(0.40℃-0.52℃)/10 a之间, 1998-2012年的升温率为0.20℃/10 a[29, 30]。1979-2001年, 青藏高原西北部降水增加速率为3.99 mm/10 a, 东南部增加速率约16.84 mm/10 a[31, 32]。总体而言, 2004年以来, 青藏高原腹地多年冻土区的气候变暖变湿趋势远较整个青藏高原的平均气候变化幅度要强烈。多年冻土区气候的这种变化无疑会导致多年冻土及多年冻土水资源特征发生显著变化。
1.2 活动层温度和含水量变化特征1998年以来, 本项目组陆续在青藏公路沿线公路两侧的天然无破坏地表下建立了9个活动层观测站点(昆仑山垭口至两道河段), 其观测内容是自地表到多年冻土上限之间厚度约为1—4 m不同深度处的土壤温度、未冻水含量、土壤热通量等。观测结果显示, 这些观测站点的活动层厚度在100—400 cm之间, 活动层厚度自2004—2018年呈现显著增加趋势(图 2a), 平均变化率达到21.7 cm/10 a(图 2b)。活动层底部温度变化范围在−3.2℃—0 ℃之间, 从2004—2018年呈现出明显的升温趋势, 平均升温率为0.45℃/10 a(图 3)。
|
| 图 2 青藏公路沿线各观测点活动层厚度2004-2018年变化趋势 (a)不同站点活动层厚度变化趋势; (b)活动层厚度平均变化趋势及误差分布昆仑山垭口观测站点(cn06);可可西里观测站点(qt01);北麓河1号观测站点(qt02);北麓河2号观测站点(qt03);风火山观测站点(cn01);开心岭观测站点(qt05);通天河观测站点(qt06);唐古拉观测站点(qt04);两道河观测站点(cn04) |
|
| 图 3 青藏公路沿线2004-2018年各观测点活动层底部温度及变化趋势 昆仑山垭口观测站点(cn06);可可西里观测站点(qt01);北麓河1号观测站点(qt02);北麓河2号观测站点(qt03);风火山观测站点(cn01);开心岭观测站点(qt05);通天河观测站点(qt06);唐古拉观测站点(qt04);两道河观测站点(cn04) |
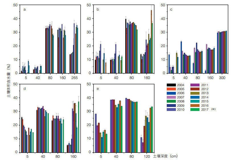
大量研究表明, 青藏高原多年冻土区活动层的融化过程开始于每年5月中下旬, 结束于每年9月下旬-11月初[6, 33-35]。受气温季节变化的影响, 每年9月之后气候逐渐变冷, 活动层自上而下的融化过程变得非常缓慢。因此, 本文选取青藏公路沿线5个活动层观测站点2004-2017年不同深度土壤水分观测资料进行统计分析, 探讨2004年以来活动层内部的水分变化。结果显示, 活动层水分含量的年平均值和每年9月平均值均表现出自地表向下逐渐增大的趋势, 活动层底部的土壤含水量较高。活动层冻结期土壤水分大多呈现冻结状态, 土层中只含有较少量的未冻水, 各站点9月平均土壤含水量介于2.5%-39.7%, 年平均值介于2.1%-25.8%, 年平均值明显低于9月平均值; 5个观测点活动层底部9月多年平均土壤含水量介于21.7%-29.8%。通过趋势分析发现, 2004- 2018年, 所有站点活动层底部的土壤含水量都呈现显著增加趋势(图 4), 增加量为11%-32%, 平均每年增加2%以上; 而活动层上部的土壤含水量却表现出降低趋势或者是没有显著变化, 观测期内地表土壤含水量的降低幅度一般小于2%。
|
| 图 4 青藏高原不同深度土壤水分在2004-2017年间变化特征(每年9月平均土壤含水量) (a)索南达杰观测站点(cn06); (b)昆仑山垭口观测站点(cn02);(c)唐古拉观测站点(qt04);(d)可可西里观测站点(qt01);(e)西大滩观测站点(qt09) |
研究表明, 青藏高原多年冻土退化、活动层增厚会导致表层土壤含水量减少[36]。上述结果显示, 2004年以来, 青藏公路沿线活动层内部的水分状况整体呈现下部增大, 表层基本不变或略有降低的趋势, 这与同期降水量呈显著增加趋势相吻合。换言之, 降水量的增加一定程度缓减了地表土壤含水量的减少趋势。
2 多年冻土区降水和土壤含水量时空变化趋势为更好地探求青藏高原多年冻土变化的水资源效应, 亟待查明多年冻土区空间尺度的降水量和土壤储水量之间的协同变化特征。本文选取中国气象信息中心中国地面降水0.5°×0.5°格点数据集和第五代全球大气再分析资料(era5)土壤水分再分析数据产品, 以探求青藏高原多年冻土区的降水和土壤含水量空间变化格局。
2.1 多年冻土区降水时空变化趋势中国气象信息中心中国地面降水0.5°×0.5°格点数据集是相对较为可信的一套数据, 对青藏高原降水量空间插值, 尤其是对降水量变化的描述较好。对该数据的分析表明, 青藏高原多年冻土区的年平均降水量存在明显的区域差异, 自西北向东南从几十至上千毫米递增; 其中西北部降水量偏低, 东南部降水量较大(图 5a)。从年际变化来看, 1980-2018年, 除青藏高原东南部区域的年降水量呈明显减少趋势外, 青藏高原大部分区域的降水量呈明显增加趋势, 中西部尤为明显, 增加速率范围在2.0-4.4 mm/a, 降水变化速率最大值约出现在唐古拉山南坡附近。其中, 比较干旱的西北部多年冻土区年降水量在99-400 mm之间, 但该区域的年降水变化速率最大(1.5-3.3 mm/a); 而在东南部降水量较大的部分区域呈现微弱的减小趋势(图 5b)。总体上, 青藏高原多年冻土降水增加率为29.5 mm/10 a。
|
| 图 5 1980-2018年青藏高原多年冻土区多年降水量变化的空间分布 (a)年平均降水量; (b)降水变化速率 |
era5土壤水分再分析数据产品在青藏高原具有较好的表现[37]。本文利用该数据分析了青藏高原多年冻土区1980-2018年6- 8月0-100 cm土壤含水量均值变化特征。从图 6a中可以看出, 多年冻土区0-100 cm土壤含水量主要分布在0.1-0.4 m3/m3, 其中青藏高原东南部土壤含水量较高, 最大值为0.69 m3/m3; 而在青藏高原西南部和腹地土壤含水量较低, 最小值为0.06 m3/m3, 多年冻土区土壤含水量平均值为0.30 m3/m3。从变化趋势上来看, 如图 6b所示, 多年冻土区土壤含水量整体呈现增加趋势, 每10年增加率为0.005 m3/m3; 从区域来看, 在青藏高原东北部土壤含水量较高的区域有略微减小的趋势, 每10年变化率为−0.01-0 m3/m3; 而在青藏高原西南部和腹地大部分区域呈现增加趋势, 每10年变化率为0.01-0.03 m3/m3。可以看出, 土壤含水量较低的区域增加趋势明显, 而在土壤含水量较高的区域呈现减少的趋势, 这与前述站点监测结果非常一致。
|
| 图 6 青藏高原多年冻土区1980-2018年土壤含水量变化(6-8月) (a)均值; (b)变化趋势 |
从前述结果可以看出, 2004年以来, 青藏高原多年冻土区的气温在升高, 降水量在增加, 这种变化幅度远大于青藏高原气候变化的平均幅度, 也大于1980年以来青藏高原气候整体的变化幅度。在这样的气候变化背景下, 多年冻土区活动层厚度在增加, 温度在升高, 而土壤含水量整体在增加[38-41](图 4)。
土壤含水量的增大与多年冻土的隔水作用密切相关。一方面, 在冻结过程中未冻水的迁移导致更多的未冻水向多年冻土上限迁移。而活动层在融化过程中, 融雪、降水和土壤水分在重力、温度和渗透梯度共同作用下迁移到多年冻土上限之上, 导致土壤水分聚集在活动层底部[42]。另一方面, 因为活动层厚度增加, 导致底部厚层地下冰融化释放出大量冻结水。以可可西里观测站点(qt01)为例, 在观测期内(2004-2017年), 活动层厚度从160 cm增加到176 cm。例如, 在2004-2006年观测深度165 cm处尚处于冻结状态(图 2), 随着多年冻土融化, 地下冰释放大量液态水, 导致活动层底部含水量增加。研究表明, 活动层加深、融化期延长增加的多年冻土层上水的冬季补给也不可小觑; 活动层增厚也可以通过增加储水空间而减少夏季径流[43]。多年冻土退化会导致蒸发、径流、水位等水循环要素变化[44-46];并对径流、水位和水力联系有直接影响[47, 48]。由于多年冻土的弱透水性, 活动层底部增加的这部分冻结层上水有可能通过侧向流在低洼处形成径流, 进而增加青藏高原多年冻土区江河湖泊的径流量。
此外, 冻土退化会导致流域内更多的地表水入渗变成地下水, 造成流域地下水储水量加大[49], 导致冬季径流增加[50, 51]。但是通过分析唐古拉观测点(qt04)和西大滩观测站点(qt09)站点活动层储水量和降水量的变化趋势发现, 降水量显著增加, 而活动层储水量却没有明显变化(图 7)。这除了与表层强烈的蒸发和侧向流有关, 其原因是否与青藏高原多年冻土区径流在增加有关还需要进一步研究。高纬度地区的研究表明, 地下冰融化、活动层加深和融化期延长可能会导致冬季基流和暖季径流显著增加[52, 53];在不连续冻土区, 地下冰融化显著增加了冬季的河川基流, 冻土退化使得径流的季节分布更加平缓[54-56];多年冻土退化对径流分配的影响与多年冻土覆盖率密切相关, 只有在多年冻土覆盖率高的流域, 多年冻土退化才会引起产流过程的较大变化, 而对于多年冻土低覆盖率流域, 多年冻土退化的影响则较小[57]。然而, 多年冻土对气候变暖的响应是一个缓慢的过程, 因此冻土退化对水文过程的影响也是一个渐变过程。随着青藏高原多年冻土区的变暖变湿(图 5和6), 多年冻土的退化对水文过程影响的程度究竟有多大, 具体的影响过程如何还需要进一步探究。
|
| 图 7 青藏高原活动层储水量与降水变化趋势 (a)西大滩观测站点(qt09);(b)唐古拉观测站点(qt04) |
1990-2010年青藏高原湖泊面积增加了26%[58, 59]。湖泊水位升高和水量增大现象归因于区域降水量增加[60]。黄河源区湖泊扩张、数量增多的主要原因正是同期降水量增大、蒸发量减少和冻土退化加大了地下冰融化水补给量的直接反应[61];班戈错湖泊水位持续上涨, 湖面扩大的原因之一是由于该流域上游在海拔约4 800 m部位存在一片面积较大的多年冻土湿地, 而该多年冻土区的边缘有热融湖塘发育。近20年来该地区的多年冻土的退化及其中部分地下冰的融化可能是导致班戈错湖泊水位上升的主要原因之一[62]。
相关研究表明, "亚洲水塔"主要河川径流和湖泊短期内可能增加[63], 并且这一趋势可能将在未来(21世纪中期)得以持续[64], 其中印度河、恒河、雅鲁藏布江、澜沧江上游等径流增加的幅度相对较大[65]。但随着冰川规模不断萎缩, 冰雪融水的贡献率将会不断下降; 而多年冻土区活动层增厚, 土壤蓄水容量将增大, 从而导致降雨下渗量增加和基流量增大[66, 67];多年冻土退化时地下冰的融化对湖泊有一定的补给作用, 但是对湖泊的补给作用的大小取决于很多因素, 如气候变化的方式、幅度、冻土融化速率、深度, 以及局地岩性、排水和水文地质条件等[68]。除了多年冻土区湖泊上升之外, 也有研究认为区域地下水位下降的主因是冻土退化, 其导致冻结层上水水位持续下降甚至消失, 从而可能导致区域产流减少[69-72]。因此, 多年冻土退化和水循环的相互作用需要进一步研究。
3.3 多年冻土变化对地下冰释放量及地表形变的影响青藏高原多年冻土年均地下冰融化量总计可达12.7× 103 km3水量[73], 活动层加深25 cm引起的地下冰融水量相当于欧亚大陆北部主要河川径流的增加量。青藏公路沿线多年冻土上限附近地下冰主要由其上部的活动层水进行补给(59%-87%), 其次是下部的多年冻土水(13%-41%) [74];另外, 下垫面的差异会显著影响活动层水对上限附近地下冰的补给比例。比如, 高寒草甸区域的活动层水对其下部上限附近地下冰的补给比例(59%-69%)小于高寒草原所在区域的活动层水补给比例(70%- 87%)。
降水作为活动层水的主要补给源, 对地下冰的发育和形成也有着间接的贡献[75], 地表径流对浅层地下冰的形成也有显著的补给作用[76]。而针对多年冻土区地下冰的释放量到底去向何处, 目前研究还较少。在北麓河热融湖塘地区, 浅层地下冰融水对当地热融湖塘的补给比例最大能达到60%左右[77];在昆仑山垭口地区, 地下冰融水对地面径流也有着一定的贡献, 浅层地下冰的融水对当地地表径流的补给比例达到37.4%, 仅次于冰川融水56.7%的补给比例[78];在黄河源区, 地下冰融水对当地地表径流的贡献比例为13.2%-16.7%[79]。本文的研究结果反映了活动层厚度增加导致的地下冰融化对活动层底部土壤含水量有显著的影响; 然而, 针对多年冻土退化对地下冰的释放量有多大影响, 地下冰释放量到底对区域水循环的影响程度有多大, 到目前为止还没有被量化。
气候变暖背景下, 多年冻土退化还会造成多年冻土地面发生长期的沉降形变, 这主要是由于进入多年冻土内部的能量过剩时多年冻土上限处地下冰融化所导致。研究表明, 年间地表形变的高值区主要分布在地下冰含量较高的地区。例如, 青藏高原的五道梁、北麓河地区和俄罗斯的勒拿河三角洲地区, 多年冻土上限附近地下冰的融化导致了较高的年间沉降量。在五道梁地区年间沉降量可达10.28 mm[80]。多年冻土的年间形变也有明显的空间差异性--北麓河高山地区多年冻土存在较为稳定, 年平均形变量为−1.78 mm[81];而稀疏植被区域多年冻土地表形变有着明显的不同, 其年形变量在−16-0 mm之间, 退化更为明显[82]。
多年冻土地下冰含量较少的区域年间形变量较小, 主要在青藏高原的西北部和西藏当雄县附近[83, 84]。随着气候变暖的加剧, 地下冰融化速率加快, 多年冻土年间地表下沉的速率也随之增加。有研究表明, 基于ers1/2及envisat数据获得的1995- 1 9 9 9年格陵兰岛东北部地区的年平均沉降速率为−0.3-−2.4 mm/a, 而2006-2009年地表沉降速率增加到−0.8-−2.7 mm/a, 沉降速率可以很好地反映气候在变暖、多年冻土在退化[85]。因此, 多年冻土退化导致的地面形变均与多年冻土内部地下冰直接相关, 所以加强对地表形变的监测可为多年冻土区地下冰储量的变化提供可靠的依据。
4 结论多年冻土退化给青藏高原及周边地区的水循环过程和水资源时空分布带来显著影响。具体而言, 多年冻土层消融可释放水分补充地下水, 从而影响区域水文过程。但这部分水分到底对区域水资源调节作用有多大尚待进一步深入研究。本文以观测事实为基础, 结合再分析数据分析了青藏高原多年冻土变化及可能的影响, 主要得到的3条结论。
(1) 近10年来, 青藏高原多年冻土区呈现变暖变湿的特征, 多年冻土呈现显著的退化趋势。其地温明显升高、活动层增厚和活动层底部含水量增加, 活动层底部温度变化率平均为0.45℃/10 a, 活动层厚度变化率达到了21.7 cm/10 a。
(2) 1980-2017年青藏高原多年冻土区降水呈微弱的增加趋势, 增加率为29.5 mm/10 a。多年冻土区在1980-2018年6-8月的0-100 cm土壤含水量平均值为0.30 m3/m3; 并且多年冻土区降水整体呈现增加趋势, 每10年的增加率为0.005 m3/m3。
(3) 多年冻土退化将对青藏高原水文过程、湖泊面积变化等会有明显的影响, 尤其是多年冻土退化导致的地下冰融化对于水循环会产生显著影响, 并可能引起多年冻土地面发生长期的沉降形变; 但多年冻土退化对水循环究竟影响的程度有多大需要进一步深入探索。
| [1] |
zou d, zhao l, sheng y, et al. a new map of permafrost distribution on the tibetan plateau. the cryosphere, 2017, 11(6): 2527-2542. |
| [2] |
zhao l, wu q, marchenko s s, et al. thermal state of permafrost and active layer in central asia during the international polar year. permafrost and periglacial processes, 2010, 21(2): 198-207. |
| [3] |
wu q, niu f. permafrost changes and engineering stability in qinghai-xizang plateau. chinese science bulletin, 2013, 58(10): 1079-1094. |
| [4] |
hu g, zhao l, wu x, et al. variations in soil temperature from 1980 to 2015 in permafrost regions on the qinghai-tibetan plateau based on observed and reanalysis products. geoderma, 2019, 337: 893-905. |
| [5] |
jin h, luo d, wang s, et al. spatiotemporal variability of permafrost degradation on the qinghai-tibet plateau. |
| [6] |
li r, zhao l, ding y, et al. temporal and spatial variations of the active layer along the qinghai-tibet highway in a permafrost region. chinese science bulletin, 2012, 57(35): 4609-4616. |
| [7] |
cheng g, wu t. responses of permafrost to climate change and their environmental significance, qinghai-tibet plateau. |
| [8] |
cheng g, jin h. permafrost and groundwater on the qinghaitibet plateau and in northeast china. hydrogeology journal, 2013, 21(1): 5-23. |
| [9] |
cuo l, zhang y, bohn t j, et al. frozen soil degradation and its effects on surface hydrology in the northern tibetan plateau. journal of geophysical research:atmospheres, 2015, 120(16): 8276-8298. |
| [10] |
yang k, ye b, zhou d, et al. response of hydrological cycle to recent climate changes in the tibetan plateau. climatic change, 2011, 109(3-4): 517-534. |
| [11] |
jin h, he r, cheng g, et al. changes in frozen ground in the source area of the yellow river on the qinghai-tibet plateau, china, and their eco-environmental impacts. environmental research letters, 2009, 4(4): 045206. |
| [12] |
osterkamp t e. freezing and thawing of soils and permafrost containing unfrozen water or brine. water resources research, 1987, 23(12): 2279-2285. |
| [13] |
cheng g. the mechanism of repeated-segregation for the formation of thick layered ground ice. |
| [14] |
kurylyk b l, macquarrie k t b, mckenzie j m. climate change impacts on groundwater and soil temperatures in cold and temperate regions:implications, mathematical theory, and emerging simulation tools. earth-science reviews, 2014, 138: 313-334. |
| [15] |
kurylyk b l, macquarrie k t b, voss c i. climate change impacts on the temperature and magnitude of groundwater discharge from shallow, unconfined aquifers. water resources research, 2014, 50(4): 3253-3274. |
| [16] |
evans s g, ge s, liang s. analysis of groundwater flow in mountainous, headwater catchments with permafrost. water resources research, 2015, 51(12): 9564-9576. |
| [17] |
mckenzie j m, voss c i. permafrost thaw in a nested groundwater-flow system. |
| [18] |
watson v, kooi h, bense v. potential controls on cold-season river flow behavior in subarctic river basins of siberia. journal of hydrology, 2013, 489: 214-226. |
| [19] |
walvoord m a, voss c i, wellman t p. influence of permafrost distribution on groundwater flow in the context of climatedriven permafrost thaw:example from yukon flats basin, alaska, united states. water resources research, 2012, 48(7): w07524. |
| [20] |
immerzeel w w, van beek l p h, bierkens m f p. climate change will affect the asian water towers. science, 2010, 328(5984): 1382-1385. |
| [21] |
woo m k. hydrology of a drainage basin in the canadian high arctic. annals of the association of american geographers, 1983, 73(4): 577-596. |
| [22] |
liljedahl a k, boike j, daanen r p, et al. pan-arctic icewedge degradation in warming permafrost and its influence on tundra hydrology. nature geoscience, 2016, 9(4): 312-318. |
| [23] |
牛富俊, 王玮, 林战举, 等. 青藏高原多年冻土区热喀斯特湖环境及水文学效应研究. |
| [24] |
morgenstern a, grosse g, günther f, et al. spatial analyses of thermokarst lakes and basins in yedoma landscapes of the lena delta. the cryosphere, 2011, 5(4): 849-867. |
| [25] |
zhao l, ping c, yang d, et al. changes of climate and seasonally frozen ground over the past 30 years in qinghaixizang (tibetan) plateau, china. global and planetary change, 2004, 43(1-2): 19-31. |
| [26] |
kang s, xu y, you q, et al. review of climate and cryospheric change in the tibetan plateau. environmental research letters, 2010, 5(1): 015101. |
| [27] |
du m, liu j, li y, et al. are high altitudinal regions warming faster than lower elevations on the tibetan plateau?. international journal of global warming, 2019, 18(3-4): 363-384. |
| [28] |
hu g, zhao l, wu x, et al. evaluation of reanalysis air temperature products in permafrost regions on the qinghaitibetan plateau. theoretical and applied climatology, 2019, 6: 1-14. |
| [29] |
zhu x, wu t, li r, et al. impacts of summer extreme precipitation events on the hydrothermal dynamics of the active layer in the tanggula permafrost region on the qinghai-tibetan plateau. journal of geophysical research:atmospheres, 2017, 122(21): 11549-11567. |
| [30] |
kuang x, jiao j j. review on climate change on the tibetan plateau during the last half century. journal of geophysical research atmospheres, 2016, 121(8): 3979-4007. |
| [31] |
wang c, shi h, haolin h, et al. properties of cloud and precipitation over the tibetan plateau. advances in atmospheric sciences, 2015, 32(11): 1504-1516. |
| [32] |
you q, min j, zhang w, et al. comparison of multiple datasets with gridded precipitation observations over the tibetan plateau. climate dynamics, 2015, 45(3-4): 791-806. |
| [33] |
赵林, 程国栋, 李述训, 等. 青藏高原五道梁附近多年冻土活动层冻结和融化过程. 科学通报, 2000, 45(11): 1205-1211. |
| [34] |
程国栋, 赵林, 李韧, 等. 青藏高原多年冻土特征、变化及影响. 科学通报, 2019, 64(27): 2783-2795. |
| [35] |
wu q b, liu y z, zhang j m, et al. a review of recent frozen soil engineering in permafrost regions along qinghai-tibet highway, china. permafrost and periglacial processes, 2002, 13(3): 199-205. |
| [36] |
wu x, fang h, zhao y, et al. a conceptual model of the controlling factors of soil organic carbon and nitrogen densities in a permafrost-affected region on the eastern qinghai-tibetan plateau. journal of geophysical research:biogeosciences, 2017, 122(7): 1705-1717. |
| [37] |
cheng m, zhong l, ma y, et al. a study on the assessment of multi-source satellite soil moisture products and reanalysis data for the tibetan plateau. remote sensing, 2019, 11(10): 1196. |
| [38] |
gruber s. derivation and analysis of a high-resolution estimate of global permafrost zonation. cryosphere, 2012, 6(1): 221-233. |
| [39] |
marchenko s s, gorbunov a p, romanovsky v e. permafrost warming in the tien shan mountains, central asia. global and planetary change, 2007, 56(3-4): 311-327. |
| [40] |
luo d, jin h, lu l, et al. spatiotemporal changes in extreme ground surface temperatures and the relationship with air temperatures in the three-river source regions during 1980-2013. theoretical and applied climatology, 2016, 123(3-4): 885-897. |
| [41] |
severskiy e. permafrost response to climate change in the northern tien shan. sciences in cold and arid regions, 2017, 9(4): 398-403. |
| [42] |
zhao l, cheng g, li s, et al. thawing and freezing processes of active layer in wudaoliang region of tibetan plateau. chinese science bulletin, 2000, 45(23): 2181-2187. |
| [43] |
zhang t, frauenfeld o w, serreze m c, et al. spatial and temporal variability in active layer thickness over the russian arctic drainage basin. journal of geophysical research:atmospheres, 2005, 110(d16): d16101. |
| [44] |
lan y, jin h, la c, et al. climate transformation to warmhumid and its effect on river runoff in the source region of the yellow river. sciences in cold and arid regions, 2014, 6(3): 257-265. |
| [45] |
lan y, zhao g, zhang y, et al. response of runoff in the source region of the yellow river to climate warming. quaternary international, 2010, 226(1-2): 60-65. |
| [46] |
yang d, li c, hu h, et al. analysis of water resources variability in the yellow river of china during the last half century using historical data. |
| [47] |
bense v f, ferguson g, kooi h. evolution of shallow groundwater flow systems in areas of degrading permafrost. geophysical research letters, 2009, 36(22): l22401. |
| [48] |
bense v f, kooi h, ferguson g, et al. permafrost degradation as a control on hydrogeological regime shifts in a warming climate. journal of geophysical research:earth surface, 2012, 117(f3): f03036. |
| [49] |
gao b, yang d, qin y, et al. change in frozen soils and its effect on regional hydrology, upper heihe basin, northeastern qinghai-tibetan plateau. the cryosphere, 2018, 12: 657-673. |
| [50] |
巩同梁, 刘昌明, 刘景时. 拉萨河冬季径流对气候变暖和冻土退化的响应. 地理学报, 2006, (5): 519-526. |
| [51] |
陆胤昊, 叶柏生, 李翀. 冻土退化对海拉尔河流域水文过程的影响. |
| [52] |
zhang g, yao t, xie h, et al. increased mass over the tibetan plateau:from lakes or glaciers?. geophysical research letters, 2013, 40(10): 2125-2130. |
| [53] |
luo d, wu q, jin h, et al. recent changes in the active layer thickness across the northern hemisphere. environmental earth science, 2016, 75(7): 555. |
| [54] |
yang d, ye b, kane d l. streamflow changes over siberian yenisei river basin. journal of hydrololgy, 2004, 296(1-4): 59-80. |
| [55] |
ye b, yang d, kane d l. changes in lena river streamflow hydrology:human impacts versus natural variations. |
| [56] |
berezovskaya s, yang d, kane d l. compatibility analysis of precipitation and runoff trends over the large siberian watersheds. |
| [57] |
ye b, yang d, zhang z, et al. variation of hydrological regime with permafrost coverage over lena basin in siberia. |
| [58] |
zhang g, yao t, xie h, et al. lakes' state and abundance across the tibetan plateau. chinese science bulletin, 2014, 59(24): 3010-3021. |
| [59] |
lei y, yang k, wang b, et al. response of inland lake dynamics over the tibetan plateau to climate change. climatic change, 2014, 125(2): 281-290. |
| [60] |
沈德福, 李世杰, 姜永见, 等. 黄河源区湖泊水环境特征及其对气候变化的响应. |
| [61] |
李林, 吴素霞, 朱西德, 等. 21纪以来黄河源区高原湖泊群对气候变化的响应. 自然资源学报, 2008, 23(2): 245-253. |
| [62] |
吴吉春, 盛煜, 吴青柏, 等. 气候变暖背景下青藏高原多年冻土层中地下冰作为水"源"的可能性探讨. |
| [63] |
lutz a f, immerzeel w w, shrestha a b, et al. consistent increase in high asia's runoff due to increasing glacier melt and precipitation. nature climate change, 2014, 4: 587-592. |
| [64] |
陈德亮, 徐柏青, 姚檀栋, 等. 青藏高原环境变化科学评估:过去, 现在与未来. 科学通报, 2015, 60(32): 3025-3035. |
| [65] |
张人禾, 苏凤阁, 江志红, 等. 青藏高原21世纪气候和环境变化预估研究进展. |
| [66] |
王宇涵, 杨大文, 雷慧闽, 等. 冰冻圈水文过程对黑河上游径流的影响分析. |
| [67] |
lamontagne-halle p, mckenzie j m, kurylyk b l, et al. changing groundwater discharge dynamics in permafrost regions. environmental research letters, 2018, 13(8): 084017. |
| [68] |
赵林, 丁永建, 刘广岳, 等. 青藏高原多年冻土层中地下冰储量估算及评价. |
| [69] |
wang g, qian j, cheng g, et al. eco-environmental degradation and causal analysis in the source region of the yellow river. environmental geology, 2001, 40(7): 884-890. |
| [70] |
zhou h, zhao x, tang y, et al. alpine grassland degradation and its control in the source region of the yangtze and yellow rivers, china. grassland science, 2005, 51(3): 191-203. |
| [71] |
曹文炳, 万力, 周训, 等. 黄河源区冻结层上水地质环境影响研究. 水文地质工程地质, 2003, 30(6): 6-10. |
| [72] |
张森琦, 李原, 王永贵, 等. 黄河源区区域地下水位下降及其生态环境地质问题. 水文地质工程地质, 2009, 36(6): 109-113. |
| [73] |
赵林, 盛煜. 青藏高原多年冻土及其变化. |
| [74] |
wang w, wu t, zhao l, et al. exploring the ground ice recharge near permafrost table on the central qinghaitibet plateau using chemical and isotopic data. journal of hydrology, 2018, 560: 220-229. |
| [75] |
zhu x, wu t, zhao l, et al. exploring the contribution of precipitation to water within the active layer during the thawing period in the permafrost regions of central qinghaitibet plateau by stable isotopic tracing. science of the total environment, 2019, 661: 630-644. |
| [76] |
yang y, wu q, yun h. stable isotope variations in the ground ice of beiluhe basin on the qinghai-tibet plateau. |
| [77] |
yang y, wu q, yun h, et al. evaluation of the hydrological contributions of permafrost to the thermokarst lakes on the qinghai-tibet plateau using stable isotopes. global and planetary change, 2016, 140: 1-8. |
| [78] |
yang y, wu q, jin h. evolutions of water stable isotopes and the contributions of cryosphere to the alpine river on the tibetan plateau. environmental earth science, 2016, 75(1): 49. |
| [79] |
yang y, wu q, jin h, et al. delineating the hydrological processes and hydraulic connectivities under permafrost degradation on northeastern qinghai-tibet plateau. china journal of hydrology, 2019, 569: 359-372. |
| [80] |
周华云, 赵林, 田黎明, 等. 基于sentinel-1数据对青藏高原五道梁多年冻土区地面形变的监测与分析. |
| [81] |
chen f, lin h, zhou w, et al. surface deformation detected by alos palsar small baseline sar interferometry over permafrost environment of beiluhe section, tibet plateau, china. remote sensing of environment, 2013, 138: 10-18. |
| [82] |
li z, tang p, zhou j, et al. permafrost environment monitoring on the qinghai-tibet plateau using time series asar images. international journal of digital earth, 2015, 8(10): 840-860. |
| [83] |
daout s, doin m-p, peltzer g, et al. large-scale insar monitoring of permafrost freeze-thaw cycles on the tibetan plateau. geophysical research letters, 2017, 44(2): 901-909. |
| [84] |
李珊珊, 李志伟, 胡俊, 等. sbas-insar技术监测青藏高原季节性冻土形变. |
| [85] |
yuan y. measuring surface deformation caused by permafrost thawing using radar interferometry, case study: zackenberg, ne greenland. delft: delft university of technology, 2011.
|
